Pada kesempatan kali ini, saya hanya ingin berbagi rumus-rumus dan contoh-contoh soal tentang turunan.
Rumus-rumus turunan dan contoh soal
- Turunan dari fungsi f(x) adalah
- Turunan dari fungsi f(x)= k, dimana k adalah bilangan konstanta adalah
Contoh soal:
f(x)= 6 maka f'(x)=0
- Turunan dari
contoh soal :
- Turunan dari
contoh soal :
- Turunan dari
contoh soal :
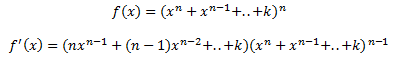
- Turunan dari
- Turunan dari
contoh soal :
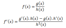
- Turunan dari
contoh soal :
LATIHAN SOAL+PEMBAHASAN
1.

Pembahasan :
3.
Pembahasan :
4.
sumber soal : http://jagoanbelajarprimamedica.blogspot.com/2013/05/contoh-soal-dan-pembahasan-turunan.html
5.
sumber soal : http://jagoanbelajarprimamedica.blogspot.com/2013/05/contoh-soal-dan-pembahasan-turunan.html
6.
sumber soal : http://kumpulansoalsman.blogspot.com/2015/04/kumpulan-soal-un-matematika-dan-kunci.html
7.
sumber soal : http://kumpulansoalsman.blogspot.com/2015/04/kumpulan-soal-un-matematika-dan-kunci.html
8.
sumber soal :
Bagi kawan-kawan yang mau menyumbangkan soal tentang turunan, silahkan tulis di komen ya, siapa tau saya bantu up di nomor-nomor selanjutnya. Terima kasih kunjungannya





























Lendutan y pada tengah-tengah sebuah batang diketehui sama dengan y=kwl^3 ÷d^4, di mana k merupakan konstanta. Jika w naik sebesar 2%, l naik sebesar 3%, dan d turun sebesar 2%, carilah persentase kenaikan y
ReplyDeletemasuk sini bank klo mau nyoba pembahasan saya
Deletehttp://pandai-dan-cerdas-matematika.blogspot.co.id/2016/03/request-soal-dan-pembahasan-dari.html